Thuốc kháng sinh là gì? Dược lý và phân loại 9 nhóm kháng sinh
Nếu phát hiện nội dung không chính xác, vui lòng phản hồi thông tin cho chúng tôi tại đây
Từ những thế kỷ trước, con người đã sử dụng thuốc kháng sinh để điều trị các bệnh nhiễm khuẩn. Tuy nhiên, lạm dụng kháng sinh đang gây ra tình trạng báo động kháng kháng sinh trên toàn thế giới.
Vậy thuốc kháng sinh là gì và tại sao phải cần tuân thủ nguyên tắc sử dụng kháng sinh để phòng ngừa đề kháng kháng sinh? Hãy cùng Trung Tâm Thuốc tìm hiểu dưới bài viết này nhé.
1 Thuốc kháng sinh là gì?
Thuốc kháng sinh tên tiếng anh là Antibiotics. Kháng sinh là các chất có thể được tạo ra từ quy trình bán tổng hợp hay tổng hợp các hợp chất hữu cơ hoặc có thể được tạo ra từ các loại vi sinh vật. Kháng sinh là những chất có khả năng tiêu diệt vi khuẩn hoặc kìm hãm sự phát triển của chúng.

2 Nguyên tắc sử dụng kháng sinh
Việc sử dụng kháng sinh bừa bãi và không có kê đơn của bác sĩ đang gia tăng sự đề kháng kháng sinh tại Việt Nam 1 cách đáng kể. Vì vậy, việc tuân thủ hướng dẫn sử dụng kháng sinh sẽ giảm được tình trạng kháng thuốc và lãng phí thuốc, tăng cao hiệu quả điều trị bằng kháng sinh.

2.1 Chỉ sử dụng kháng sinh khi có nhiễm khuẩn
Có 2 cách sử dụng kháng sinh hay được các bác sĩ chọn lựa.
- Bệnh nhân làm xét nghiệm vi sinh để xác định tình trạng nhiễm khuẩn và chủng loại vi khuẩn thì bác sĩ sẽ kê đơn kháng sinh điều trị bệnh.
- Trong trường hợp không đủ điều kiện để thực hiện xét nghiệm vi sinh, bác sĩ có thể căn cứ vào biểu hiện lâm sàng hoặc cận lâm sàng để sử dụng kháng sinh theo kinh nghiệm. Còn lại, bệnh nhân không nên tự ý mua kháng sinh sử dụng mà không có kê đơn của bác sĩ.

2.2 Lựa chọn kháng sinh hợp lý
Sau khi xác định được bệnh nhân bị bệnh nhiễm khuẩn, bác sĩ tiến hành lựa chọn kháng sinh phù hợp và an toàn cho người bệnh. Các cơ sở lựa chọn bao gồm:
- Phổ kháng khuẩn.
- Dược động học.
- Nơi nhiễm khuẩn.
- Cần chú ý tới điều kiện tài chính của bệnh nhân mà kê thuốc kháng sinh phù hợp.
2.3 Sử dụng kháng sinh đúng và đủ
- Đúng liều.
- Đúng cách.
- Đủ thời gian: thường điều trị bệnh nhiễm khuẩn bằng kháng sinh trong 7 - 10 ngày. Tuy nhiên, có những bệnh nhiễm khuẩn nặng hoặc các cơ quan bị nhiễm khuẩn mà kháng sinh khó xâm nhập vào thì thời gian điều trị sẽ dài hơn.
- Sử dụng kháng sinh ít ngày hơn khuyến cáo (<5 ngày) có thể không tiêu diệt hết được vi khuẩn trong cơ thể. Bệnh nhân có thể bị bệnh trở lại và vi khuẩn còn lại trong cơ thể có thể đề kháng thuốc.

2.4 Phối hợp kháng sinh hợp lý
Mỗi loại kháng sinh có các phổ kháng khuẩn khác nhau và việc phối hợp chúng để điều trị sẽ tăng phổ tác dụng khiến hiệu quả điều trị bệnh được tăng cao và bệnh nhân nhanh khỏi bệnh.
Ngoài ra, khi phối hợp kháng sinh sẽ làm giảm liều của các loại kháng sinh so với sử dụng chỉ 1 kháng sinh điều trị làm giảm nguy cơ chủng vi khuẩn đề kháng phát triển.
Tuy nhiên, việc này làm tăng chi phí điều trị cho người bệnh, tăng nguy cơ xảy ra các tác dụng không mong muốn và tương tác thuốc làm giảm hiệu quả điều trị.

Nguyên tắc chung cho phối hợp kháng sinh:
- Cần phối hợp kháng sinh trong các bệnh nhiễm khuẩn nặng như lao, viêm màng trong tim,... hay bệnh nhiễm khuẩn do vi khuẩn khác nhau.
- Phối hợp kháng sinh có thể dẫn đến tác dụng điều trị được nâng cao hoặc tác dụng đối kháng làm giảm hiệu lực kháng khuẩn hoặc không thay đổi so với sử dụng 1 thuốc đơn lẻ.
- Kết hợp kháng sinh có tính chất dược động học tương tự nhau hoặc có tác dụng nâng cao hiệu lực điều trị nhiễm khuẩn.
- Tác dụng hiệp đồng:
Trimethoprim và sulfamethoxazol ức chế hai giai đoạn khác nhau trong quá trình tổng hợp acid folic nên tăng hiệu quả điều trị bệnh nhiễm khuẩn.
Kết hợp β-lactam và aminosid tăng hiệu lực kháng khuẩn do β-lactam làm mất vách tế bào khiến cho aminosid dễ dàng di chuyển vào bên trong vi khuẩn và phát huy tác dụng trị bệnh nhiễm trùng do vi khuẩn gây ra.
Sử dụng Penicillin với chất ức chế β-lactamase (sulbactam, acid clavulanic) cùng lúc khiến cho Penicillin không bị phá huỷ và phát huy tác dụng.
- Tác dụng đối kháng:
Nếu sử dụng hai kháng sinh cùng cơ quan đích tác động trong cùng 1 thời điểm thì chúng sẽ cạnh tranh nhau tại receptor đích, không đạt hiệu quả điều trị như mong muốn.
Kết hợp tetracyclin và penicillin cũng dẫn đến tác dụng đối kháng vì penicillin có hoạt tính tốt trên vi khuẩn đang trong giai đoạn nhân lên trong khi tetracyclin lại kìm hãm sự phát triển của chúng.
Thực tế, trong 1 số trường hợp đặc biệt, bác sĩ vẫn có thể cân nhắc kết hợp nhóm kháng sinh diệt khuẩn với nhóm kháng sinh kìm khuẩn.
Cụ thể, khi điều trị bệnh viêm phổi mắc phải tại cộng đồng, nếu có bệnh đi kèm và sử dụng kháng sinh điều trị khoảng 3 tháng trước đó, bác sĩ có thể cân nhắc kết hợp Azithromycin với kháng sinh nhóm β-lactam (amoxicillin, ampicillin + clavulanate, cefuroxim,...) liều cao hoặc quinolon hô hấp.

2.5 Dự phòng kháng sinh hợp lý
- Sử dụng kháng sinh trong việc phòng ngừa nhiễm trùng do vi khuẩn xảy ra ở 1 số bệnh nhân đặc biệt.
- Các trường hợp hay sử dụng kháng sinh để phòng ngừa nhiễm khuẩn như sử dụng kháng sinh dự phòng phẫu thuật hay bệnh nhân bị viêm đường hô hấp cấp do virus và có nguy cơ trở nặng.
- Tuy nhiên, khi dự phòng kháng sinh cũng làm tăng nguy cơ xảy ra tình trạng đề kháng kháng sinh.
3 Cơ chế tác dụng của các nhóm kháng sinh
Các kháng sinh tác dụng trên vi khuẩn chủ yếu theo 5 cơ chế:
3.1 Ức chế tổng hợp vách tế bào vi khuẩn
Peptidoglycan là thành phần chủ yếu cấu tạo nên vách tế bào và đảm bảo tính vững chắc của nó. Kháng sinh diệt khuẩn bằng cách ức chế sự tổng hợp vách tế bào của vi khuẩn. Khi mất lớp vách này, vi khuẩn sẽ bị tiêu diệt.
Các kháng sinh hoạt động theo cơ chế này gồm: β-lactam, Glycopeptide, Bacitracin.
3.2 Tác động lên quá trình tổng hợp protein của vi khuẩn
Nhóm kháng sinh kìm khuẩn hay hãm khuẩn làm gián đoạn sự tổng hợp protein vi khuẩn bằng cách gắn lên các tiểu phân của riboxom (tiểu phân 30S, tiểu phân 50S) như tetracyclin, phenicol, macrolid và lincosamid.
Nhóm kháng sinh diệt khuẩn khi gắn lên tiểu phân 30S của ribosom sẽ gây ra sự sai lệch trong quá trình tổng hợp protein khiến vi khuẩn bị tiêu diệt. Kháng sinh thuộc nhóm này như: aminoglycosid.

3.3 Ức chế quá trình tổng hợp acid nhân
Quá trình tổng hợp acid nhân gồm 2 giai đoạn là sao chép và phiên mã. Quinolon ức chế sự sao chép mã di truyền nên vi khuẩn bị tiêu diệt. Rifampicin ức chế quá trình phiên mã tổng hợp ARN nên acid nhân không được tổng hợp và kháng sinh đã tiêu diệt được vi khuẩn.
3.4 Thay đổi tính thấm của màng
Nhờ có màng tế bào, vi khuẩn trao đổi được các chất dinh dưỡng cần thiết cho sự phát triển với môi trường bên ngoài. Ngoài ra, do có tính thấm mà màng tế bào có thể ổn định các thành phần bên trong cơ thể vi khuẩn. Khi có sự tác động của kháng sinh (Polymyxin), tính thấm màng bị thay đổi kéo theo sự thoát ra ngoài các ion cần thiết gây rối loạn trao đổi chất và vi khuẩn bị tiêu diệt.
3.5 Kháng chuyển hóa (ức chế tổng hợp acid folic)
Acid Folic là 1 chất cần thiết cho sự tồn tại và phát triển của vi khuẩn (do nó tham gia vào quá trình tổng hợp nên ADN vi khuẩn). Các vi khuẩn không thể sử dụng nguồn folate từ bên ngoài mà phải tổng hợp loại chất này từ PABA.
Sulfamid có cấu trúc hoá học gần giống với PABA nên sẽ cạnh tranh liên kết với enzym tổng hợp Dihydrofolic acid.
Trimethoprim ức chế hoạt tính của enzym Dihydrofolate reductase chuyển hoá Dihydrofolic acid thành Tetrahydrofolic acid để tạo nên ADN của vi khuẩn.
Vì vậy, sử dụng kháng sinh kết hợp này sẽ khiến vi khuẩn bị tiêu diệt.
4 Kháng sinh nhóm β-lactam
Kháng sinh nhóm β-lactam là kháng sinh được tìm thấy đầu tiên trên thế giới và cũng là kháng sinh quan trọng nhất và hay sử dụng nhất (lớn hơn 60%) trong lâm sàng.
Hình ảnh cấu trúc kháng sinh nhóm β-lactam:

Cơ chế tác dụng của kháng sinh nhóm β-lactam:
Vách tế bào có vai trò bảo vệ cho tế bào vi khuẩn khỏi vỡ do sự chênh lệch áp suất thẩm thấu. Peptidoglycan là thành phần chính trong cấu trúc hoá học của vách tế bào. Ở vi khuẩn gram dương, lớp peptidoglycan rất dày trong khi lớp này khá mỏng ở vi khuẩn gram âm và có một màng lipid bao ngoài.
Kháng sinh nhóm β-lactam thuộc nhóm kháng sinh diệt khuẩn. Chúng ức chế quá trình tổng hợp vách tế bào ở vi khuẩn (ức chế quá trình tạo liên kết ngang của peptidoglycan) khiến vi khuẩn mất lớp vách và bị tiêu diệt.
Cơ chế kháng thuốc
- Vi khuẩn tiết enzym phá hủy thuốc β-lactamase: Đây là cơ chế đề kháng hay gặp nhất của kháng sinh nhóm β-lactam. Các chủng vi khuẩn như Staphylococcus aureus (tụ cầu vàng), H.influenzae và E.coli có phổ khá hẹp nên hay kháng nhóm Penicillin chứ không kháng nhóm Cephalosporin.
Nhưng có 1 số vi khuẩn như trực khuẩn mủ xanh Enterobacter sp. và các ESBL có thể tiết ra các enzym đề kháng nhóm kháng sinh Cephalosporin.
Carbapenem cũng không ngoại lệ khi vi khuẩn có thể tiết ra enzym carbapenemase và metallo-β-lactamase kháng thuốc.
- Thay đổi đích tác dụng của thuốc: Cơ chế này thường xảy ra ở tụ cầu kháng methicillin, phế cầu kháng penicillin và Enterococci.
- Thay đổi tính thấm của màng tế bào vi khuẩn với thuốc: Cơ chế xảy ra ở vi khuẩn Gram âm. Chúng đề kháng nhóm thuốc β-lactam bằng cách giảm hoặc loại bỏ hoàn toàn các kênh porin cho thuốc đi xuyên qua màng tế bào.
Tuy nhiên, nếu chỉ mình cơ chế này thì vi khuẩn cũng khó kháng thuốc mà phải tiết thêm β-lactamase thuỷ phân thuốc đi vào.
- Hình thành bơm tống thuốc: cơ chế cũng chỉ xảy ra ở vi khuẩn Gram âm. Các bơm này được hình thành và đẩy kháng sinh ra khỏi tế bào. Kháng sinh không gắn được với PBP và không thể cho tác dụng kìm hay diệt khuẩn.
Kháng sinh nhóm β-lactam được chia làm 4 nhóm theo cấu trúc hoá học: penicillin, cephalosporin, carbapenem, monobactam.
4.1 Penicillin
Penicillin G là kháng sinh được bác sĩ Alexander Fleming phát hiện đầu tiên trên thế giới và đã cứu sống được tính mạng của rất nhiều người khỏi bệnh nhiễm trùng do vi khuẩn gây ra. Sau này, người ta đã tìm ra các loại kháng sinh khác có cấu trúc hoá học tương tự như penicillin G và xếp chúng vào nhóm Penicillin.
Nhóm kháng sinh Penicillin bao gồm: penicillin tự nhiên, penicillin kháng penicillinase, penicillin phổ rộng, penicillin kháng trực khuẩn mủ xanh.
Penicillin tự nhiên:
Công thức cấu tạo của nhóm Penicillin:

Đại diện cho nhóm này là penicillin G và penicillin V.
Chỉ định
- Các kháng sinh này sử dụng điều trị hiệu quả với vi khuẩn gram dương như liên cầu, tụ cầu vàng, phế cầu… và trực khuẩn uốn ván, than, hoại thư sinh hơi… và gram âm như lậu cầu hoặc màng não cầu.
- Sử dụng penicillin trong các bệnh nhiễm khuẩn thông thường như nhiễm khuẩn ở đường hô hấp, nhiễm khuẩn huyết, viêm xương tủy cấp và mạn tính, viêm màng trong tim do liên cầu.
- Chú ý: penicillin G sử dụng theo đường tiêm do bị mất hoạt tính bởi dịch vị, còn penicillin V thì có thể sử dụng theo đường uống.
Penicillin kháng penicillinase
- Các kháng sinh nhóm này có thể kể đến như Oxacillin, Cloxacillin, methicillin…
- Các kháng sinh này sử dụng điều trị hiệu quả với vi khuẩn Gram dương tiết penicillinase như liên cầu (nhiễm khuẩn da và mô mềm, viêm màng trong tim, viêm tủy xương) và không có hiệu quả với vi khuẩn Gram âm.
- Hiện tại thì không dùng methicillin do độc tính cao với thận.
Penicillin phổ rộng
Hay gặp là 2 thuốc kháng sinh: amoxicillin và ampicillin
Các aminopenicillin đều có thể hấp thu qua đường tiêu hoá (do bền với acid dịch vị) nhưng amoxicillin lại hấp thu nhanh và hoàn toàn hơn ampicillin.
Các aminopenicillin đều điều trị hiệu quả với cả 2 loại vi khuẩn Gram dương và Gram âm.
Chỉ định:
- Thường được điều trị cho bệnh nhiễm trùng hô hấp như viêm mũi xoang, viêm tai giữa,...
- Hiệu quả với bệnh nhân bị nhiễm khuẩn đường niệu do E.coli và Enterobacter.
- Nhiễm khuẩn tiêu hoá, nhiễm khuẩn huyết.
Penicillin kháng trực khuẩn mủ xanh
- Carboxypenicillin (carbenicillin, Ticarcillin) và ureidopenicillin (piperacillin, azlocillin) có phổ giống như aminopenicillin nhưng rộng hơn do tác dụng cả trên trực khuẩn mủ xanh.
- Chúng được chỉ định trong các bệnh nhiễm khuẩn nặng do trực khuẩn mủ xanh gây ra.
Cephalosporin
Các nhà khoa học đã nghiên cứu và phát triển được 5 thế hệ của Cephalosporin.
Cấu trúc hoá học nhóm kháng sinh Cephalosporin được trình bày trong hình ảnh sau:

Cephalosporin thế hệ 1
- Kháng sinh đại diện như Cephalexin, Cefazolin,...
- Phổ tác dụng: Kháng sinh nhóm này chủ yếu hiệu quả với chủng vi khuẩn Gram dương và 1 số vi khuẩn Gram âm như E.coli, Shigella,...
- Chúng được chỉ định trong các bệnh nhiễm khuẩn đường hô hấp, nhiễm khuẩn tiết niệu, nhiễm khuẩn da, xương, răng và mô mềm.
Cephalosporin thế hệ 2
- Các kháng sinh nhóm này là cefuroxim (biệt dược kháng sinh Zinnat), Cefaclor, Cefprozil,...
- Các kháng sinh nhóm cephalosporin thế hệ 2 này có phổ gần giống Cephalosporin thế hệ 1 nhưng yếu hơn trên vi khuẩn Gram dương và phổ tác dụng rộng hơn trên vi khuẩn Gram âm.
- Tuy nhiên, nhóm này chưa có tác dụng điều trị chủng Pseudomonas và Enterococcus.
- Cefuroxim là kháng sinh cephalosporin thế hệ 2 phổ biến nhất và sử dụng theo đường uống. Nó hay được dùng để chỉ định cho bệnh nhân bị nhiễm trùng hô hấp cả trên và dưới.

Cephalosporin thế hệ 3
- Các kháng sinh nhóm này như Ceftazidime, Cefotaxime, Ceftriaxone (biệt dược Rocephin), Cefixime,...
- So với Cephalosporin thế hệ 2, các kháng sinh thế hệ 3 tuy có phổ tác dụng rộng hơn với vi khuẩn Gram âm và một số thuốc có khả năng thâm nhập hàng rào máu não nhưng lại yếu hơn trên vi khuẩn Gram dương (phế cầu). Ngoài ra, chúng còn có ưu điểm là bền vững với β-lactamase và tác dụng cả với trực khuẩn mủ xanh.
- Thường được điều trị với bệnh nhân bị nhiễm khuẩn nặng do vi khuẩn kháng 2 loại kháng sinh cephalosporin thế hệ 1 và 2 như: viêm màng não, nhiễm khuẩn hô hấp nặng, nhiễm khuẩn huyết, nhiễm khuẩn tiêu hoá, đường mật và nhiễm khuẩn tiết niệu.
- Tất cả kháng sinh thuộc nhóm này đều sử dụng đường tiêm, trừ cefixim sử dụng theo đường uống.

Cephalosporin thế hệ 4
- Các kháng sinh nhóm này là cefepime và Cefpirome.
- So với Cephalosporin thế hệ 3, các kháng sinh thế hệ 4 đề kháng với β-lactamase cao hơn. Chúng tác dụng tốt trên trực khuẩn mủ xanh, các trực khuẩn đường ruột gram âm, tụ cầu vàng nhạy cảm với Methicillin (MSSA), Haemophilus, lậu cầu, não mô cầu.
- Thuốc này bền vững với β-lactamase và thường được chỉ định nhiễm trùng nặng và đa kháng, đặc biệt bệnh do trực khuẩn mủ xanh và Enterobacter.
Cephalosporin thế hệ 5
- Các kháng sinh nhóm này bao gồm ceftaroline, ceftobiprole và ceftolozane.
- Ưu điểm của nhóm kháng sinh này là chúng có phổ tác dụng trên MRSA rất tốt do liên kết với PBP2a.
- Tuy nhiên kháng sinh nhóm này lại có phổ hẹp hơn nhóm Cephalosporin thế hệ 4 trên vi khuẩn gram âm nên chúng không được chỉ định điều trị bệnh nhiễm trùng do trực khuẩn mủ xanh gây ra.
4.2 Carbapenem
Các kháng sinh thuộc nhóm này là Imipenem, Meropenem,...
Chỉ định
Kháng sinh nhóm này có phổ kháng khuẩn rộng nhất hiện nay vì chúng tác dụng điều trị hiệu quả không những ở vi khuẩn Gram dương, Gram âm mà còn ở các loại vi khuẩn ưa và kỵ khí, vi khuẩn tiết β-lactamase kể cả loại kháng methicillin.
Cấu trúc hoá học nhóm Carbapenem được biểu diễn như sau:

- Chúng được sử dụng đối với bệnh nhân bị các chứng nhiễm khuẩn nặng như nhiễm khuẩn huyết, nhiễm khuẩn ổ bụng hay nhiễm khuẩn hô hấp, tiết niệu, sinh dục và tiêu hoá.
- Các kháng sinh nhóm này không hấp thu được trên đường tiêu hoá nên sử dụng theo đường tiêm cho bệnh nhân.
4.3 Monobactam
Kháng sinh aztreonam là đại diện duy nhất của nhóm.
Chỉ định
- Aztreonam có phổ rất hẹp, không có tác dụng trên gram dương và kỵ khí mà chỉ có tác dụng trên vi khuẩn Gram âm.
- Kháng sinh này điều trị nhiễm khuẩn do vi khuẩn Gram âm gây nên như bệnh nhiễm trùng tiết niệu, sinh dục hay nhiễm khuẩn ổ bụng.
Cấu trúc hoá học kháng sinh aztreonam được biểu diễn trong hình ảnh dưới đây:

4.4 Các chất ức chế β-lactamase
- Các chất trong nhóm như: acid clavulanic, Sulbactam và Tazobactam.
- Các chất nhóm này kháng khuẩn rất yếu nhưng lại làm mất hoạt tính của enzym β-lactamase. Vì vậy, người ta nghiên cứu ra các chế phẩm kết hợp với kháng sinh nhóm penicillin để nới rộng phổ kháng khuẩn và bảo vệ kháng sinh khỏi bị phân huỷ bởi enzym β-lactamase.
- Một số chế phẩm kết hợp hay gặp như amoxicillin + Acid Clavulanic (biệt dược kháng sinh Augmentin), ampicillin + sulbactam (biệt dược kháng sinh Unasyn),...
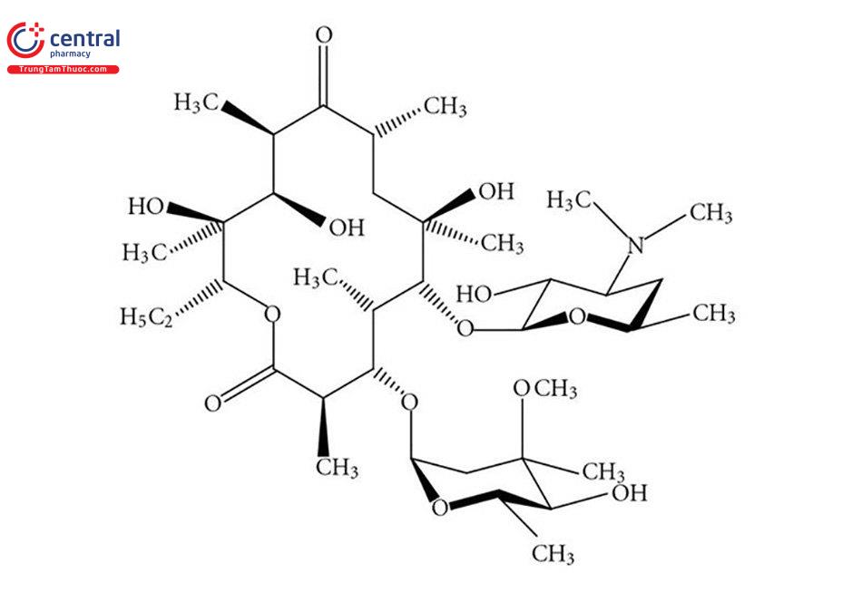
5 Kháng sinh nhóm Macrolid
Các thuốc thông dụng trong nhóm kháng sinh macrolid: erythromycin, Clarithromycin, Spiramycin, azithromycin,...
Cấu trúc hoá học kháng sinh Erythromycin như sau:

Erythromycin
- Erythromycin có hiệu quả điều trị chủ yếu trên vi khuẩn gram dương và 1 số vi khuẩn Gram âm.
- Nó có thể tác dụng tiêu diệt cả vi khuẩn nội bào như Mycoplasma, Chlamydia,..., xoắn khuẩn T.pallidum và Campylobacter nhưng lại không tác dụng trên vi khuẩn ưa khí Gram âm.
- Nó được sử dụng điều trị các bệnh nhiễm khuẩn da, hô hấp hay nhiễm khuẩn tiết niệu và sinh dục. Ngoài ra, erythromycin có thể làm kháng sinh dự phòng thấp khớp cấp tính.
- Lưu ý sử dụng:
Erythromycin dạng base mới cho tác dụng điều trị nhưng không bền với acid dịch vị nên các nhà sản xuất bào chế hoạt chất này dưới dạng viên bao tan trong ruột hoặc sử dụng dạng muối este.
Erythromycin dạng base mới cho tác dụng điều trị hiệu quả hơn nhưng không bền với acid dịch vị, đồng thời gây kích ứng niêm mạc dạ dày.
Vì vậy, các nhà bào chế đã sản xuất viên uống chứa hoạt chất erythromycin dưới dạng viên bao tan trong ruột hoặc sử dụng dạng muối este, nhằm tăng khả năng hấp thu thuốc tại ruột non.
Clarithromycin
- Phổ tác dụng tương tự như erythromycin nhưng mạnh hơn trên Staphylococcus, Streptococcus và H.pylori mạnh hơn.
- Vì vậy, nó còn được chỉ định tiêu diệt H.pylori gây bệnh viêm loét dạ dày – tá tràng và nhiễm khuẩn cơ hội của bệnh AIDS.
- Thời gian bán thải của thuốc này dài hơn erythromycin và chủ yếu thải trừ qua nước tiểu nên hay chỉ định trong nhiễm khuẩn tiết niệu và sinh dục.
6 Kháng sinh nhóm Lincosamid
Các thuốc hay gặp trong nhóm này bao gồm Lincomycin và clindamycin
Giống với kháng sinh nhóm macrolid, lincosamid ưu tiên tác dụng trên vi khuẩn Gram dương và tốt hơn nhóm macrolid trên vi khuẩn kỵ khí. Tuy nhiên, vi khuẩn ưa khí Gram âm lại thường kháng clindamycin.
Cấu trúc hoá học của kháng sinh Clindamycin được biểu diễn sau đây:

Chỉ định
- Nhóm kháng sinh này thường được chỉ định các bệnh nhiễm khuẩn do vi khuẩn kị khí và ưa khí như nhiễm khuẩn hô hấp
- Ngoài ra còn dùng để chữa các bệnh nhiễm khuẩn ổ bụng, nhiễm khuẩn huyết, nhiễm khuẩn xương khớp hay dự phòng viêm màng trong tim và cấy ghép nội tạng, trị trứng cá do vi khuẩn kháng các loại kháng sinh khác.
- Ưu tiên sử dụng clindamycin do lincomycin hiệu lực tác dụng kém hơn và độc hơn clindamycin.
Lưu ý sử dụng
Lincomycin còn bị thức ăn ảnh hưởng tới sự hấp thu thuốc nên uống cách xa bữa ăn.
7 Kháng sinh nhóm Phenicol
Các thuốc hay gặp trong nhóm này bao gồm cloramphenicol và thiamphenicol.
Chỉ định
- Kháng sinh cloramphenicol có phổ kháng khuẩn rất rộng (tác dụng trên nhiều loại vi khuẩn Gram dương và âm). Thuốc này hiệu quả trong điều trị các bệnh do Shigella, Salmonella, Vibrio cholerae,... và vi khuẩn kỵ khí Gram âm như B.fragilis nhưng lại không có tác dụng với trực khuẩn mủ xanh.
Cấu trúc hoá học của kháng sinh Cloramphenicol như sau:

- Chỉ định của cloramphenicol dùng cho các bệnh nhiễm khuẩn đường tiêu hoá (thương hàn, bệnh lỵ, bệnh tả), viêm màng não do vi khuẩn Gram âm, nhiễm khuẩn hô hấp nặng và tiết niệu, nhiễm khuẩn nội bào và các bệnh nhiễm khuẩn tại các cơ quan như tai và mắt.
- Hiện nay, do cloramphenicol tác dụng phụ quá nghiêm trọng cho con người như thiếu máu bất sản và hội chứng xám ở trẻ sơ sinh nên chúng chỉ còn được sử dụng điều trị nhiễm khuẩn cho mắt và tai.
- Thiamphenicol tuy ít gây độc tính lên cơ thể hơn nhưng lại không sử dụng phổ biến như cloramphenicol.
8 Kháng sinh nhóm Tetracyclin
Các thuốc trong nhóm này bao gồm tetracyclin, doxycyclin, minocyclin,...
Chỉ định
Kháng sinh tetracyclin có phổ kháng khuẩn rất rộng (tác dụng trên nhiều loại vi khuẩn Gram dương và âm, vi khuẩn ưa và kỵ khí).
- Thuốc hiệu quả điều trị các bệnh do xoắn khuẩn và vi khuẩn nội bào (Chlamydia, Rickettsia, Mycoplasma) gây ra.
- Ngoài ra, thuốc cũng được sử dụng điều trị cho bệnh virus mắt hột, sinh vật đơn bào và ký sinh trùng sốt rét.
- Bên cạnh đó, nhóm kháng sinh này cũng có thể được sử dụng phối hợp với thuốc khác tiêu diệt H.Pylori gây bệnh viêm loét dạ dày - tá tràng.
Cấu trúc hoá học của kháng sinh Tetracyclin được thể hiện trong hình ảnh dưới đây:

Lưu ý khi sử dụng
- Nên sử dụng kháng sinh xa bữa ăn vì thức ăn ảnh hưởng tới sự hấp thu thuốc.
- Ngoài ra, khi uống kháng sinh kèm với các loại đồ uống chứa các ion hoá trị II và III (Ca, Mg, Fe,...) cũng có thể tạo phức chelat cản trở sự hấp thu thuốc, giảm hiệu lực điều trị.
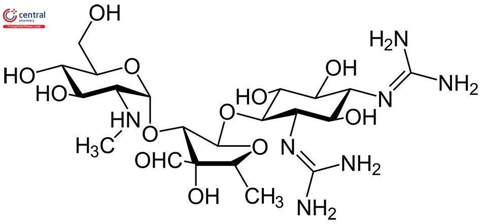
9 Kháng sinh nhóm Aminoglycosid
Những đại diện tiêu biểu của nhóm kháng sinh này là streptomycin, Neomycin, Kanamycin, Gentamicin, tobramycin, Amikacin,...
- Aminosid thâm nhập nhờ sự vận chuyển tích cực (do chênh lệch gradient điện hoá 2 bên màng và sự tham gia của bơm proton) và gắn vào tiểu phân 30S của ribosom, gây biến dạng ribosom nên ức chế được quá trình tổng hợp protein của vi khuẩn và vi khuẩn bị tiêu diệt.
- Trong điều kiện yếm khí (thiếu Oxy) hoặc môi trường acid, sự vận chuyển aminosid giảm nên có thể thêm kháng sinh nhóm β-lactam giúp tăng cường vận chuyển các aminoglycosid vào trong vi khuẩn nâng cao tác dụng điều trị.
- Những kháng sinh nhóm này có phổ kháng khuẩn rất rộng, cụ thể chúng tác dụng rất tốt trên vi khuẩn Gram âm còn trên vi khuẩn Gram dương thì không mạnh bằng penicillin.
- Tuy nhiên, khi sử dụng nhóm kháng sinh này theo đường toàn thân, chúng gây ra các tác dụng không mong muốn trên thận và tai.
Lưu ý
Aminoglycosid là nhóm kháng sinh không hấp thu qua đường tiêu hoá nên các bác sĩ khi điều trị cho người bệnh sử dụng đường tiêm cho bệnh nhân.
Chỉ định 1 số nhóm aminosid
- Gentamycin hay được chỉ định trong các bệnh nhiễm khuẩn nặng gây ra bởi vi khuẩn Gram âm ở bệnh viện như nhiễm khuẩn đường mật, nhiễm khuẩn đường mật, nhiễm khuẩn huyết hay nhiễm khuẩn tiết niệu và sinh dục và dự phòng trong các trường hợp phẫu thuật.
- Streptomycin tuy có hoạt tính kém với trực khuẩn mủ xanh so với gentamycin nhưng lại tác dụng điều trị rất tốt trên vi khuẩn lao nên được sử dụng trong phác đồ điều trị cho các bệnh nhân lao.
Ngoài ra, thuốc còn được chỉ định trong các trường hợp dịch hạch, bệnh phong hay các loại nhiễm khuẩn xảy ra ở đường tiêu hoá, dự phòng trong phẫu thuật.
Cấu trúc hoá học của kháng sinh Streptomycin

- Tobramycin có tác dụng điều trị với rất nhiều vi khuẩn, nhất là trực khuẩn mủ xanh nên hay được chỉ định kết hợp với các kháng sinh nhóm penicillin để đạt hiệu quả tốt nhất.
10 Kháng sinh nhóm Peptid
Nhóm kháng sinh thường có phổ kháng khuẩn rất rộng nhưng gây ra rất nhiều tác dụng không mong muốn đối với cơ thể con người. Vì vậy, trong điều trị kháng sinh theo kinh nghiệm, chúng ít khi được ứng dụng làm các kháng sinh đầu tay.
2 nhóm kháng sinh hay gặp trong nhóm này là glycopeptide (vancomycin, teicoplanin,daptomycin, ramoplanin,...) và polypeptide (polymyxin, bacitracin, Tyrothricin,...)
10.1 Glycopeptide
- Cơ chế tác dụng: Các kháng sinh thuộc nhóm này có khả năng ức chế quá trình tổng hợp vách ở vi khuẩn. Lớp vách tế bào không được hình thành thì tế bào vi khuẩn sẽ bị vỡ do chênh lệch áp suất thẩm thấu, vi khuẩn bị tiêu diệt.
- Vancomycin phổ kháng khuẩn hẹp và chỉ có tác dụng trên vi khuẩn Gram dương, kể cả chủng vi khuẩn kháng methicillin và 1 số nhóm vi khuẩn như C.tetani, B.anthracis,... Tuy nhiên, kháng sinh này lại không có hoạt tính với vi khuẩn Gram âm và vi khuẩn lao.
Cấu trúc hoá học của kháng sinh Vancomycin

Vì vậy, khi chúng được sử dụng theo đường uống để điều trị trong các trường hợp viêm ruột kết mạc giả thứ phát do kháng sinh, nhiễm khuẩn đường tiêu hoá hay nhiễm khuẩn nặng theo đường tiêm.
- Teicoplanin sử dụng theo đường tiêm do ít hấp thu tại ruột. Nó có phổ tương tự như vancomycin nhưng hoạt tính tốt hơn trên nhóm Clostridium nên có thể sử dụng thay thế vancomycin trong điều trị nhiễm khuẩn.
10.2 Polypeptide
Polymyxin
- Cơ chế tác dụng: Các thuốc thuộc nhóm kháng sinh này thay đổi tính thấm của màng tế bào, khiến quá trình trao đổi chất của vi khuẩn bị rối loạn, các ion cần thiết thoát hết ra ngoài và vi khuẩn bị tiêu diệt.
- Các polymyxin như Polymyxin B, polymyxin E (colistin) có hoạt tính tốt trên vi khuẩn Gram âm (E.coli, Shigella, Salmonella và trực khuẩn mủ xanh) nhưng lại không điều trị được các bệnh nhiễm khuẩn do vi khuẩn Gram dương gây ra.
- Vì vậy, chúng được chỉ định trong các trường hợp bệnh nhân nhiễm khuẩn nặng do vi khuẩn Gram âm hoành hành (nhiễm khuẩn nội tạng, nhiễm khuẩn huyết, màng não,...). Dùng tại chỗ kháng sinh này để chữa các chứng nhiễm khuẩn trên mắt, da và niêm mạc.
- Ngoài ra, polymyxin còn được sử dụng theo đường uống với tác dụng tại chỗ để điều trị bệnh nhiễm khuẩn tiêu hoá (do tính chất không hấp thu tại đường tiêu hoá).
Cấu trúc hoá học của kháng sinh colistin
.jpg)
- Ngược lại với polymyxin, Bacitracin lại có hoạt tính tốt trên vi khuẩn Gram dương nhưng lại yếu khi sử dụng điều trị cho bệnh nhiễm khuẩn do vi khuẩn Gram âm.
- Cơ chế tác dụng: kháng sinh này ức chế quá trình tổng hợp vách tế bào của vi khuẩn.
- Tuy nhiên, do bacitracin gây ra độc tính rất mạnh cho thận khi sử dụng đường tiêm nên hiện nay, kháng sinh này chỉ được bào chế dạng viên ngậm để điều trị viêm miệng, viêm họng.
11 Kháng sinh nhóm Quinolon
Quinolon chia làm 4 thế hệ:
11.1 Quinolon thế hệ 1
- Nhóm này gồm các kháng sinh như Acid Nalidixic, cinoxacin, oxolinic,...
- Nhóm này có phổ kháng khuẩn rất hẹp, chỉ có hoạt tính trên vi khuẩn Gram âm nhưng không có hiệu lực với trực khuẩn mủ xanh.
- Tuy nhiên, hiện nay nhóm kháng sinh này bị rất nhiều các loại vi khuẩn đề kháng nên chỉ dùng trong trường hợp bệnh nhân mắc bệnh nhiễm khuẩn tiết niệu dưới không biến chứng.

11.2 Quinolon thế hệ 2
Nhóm này bao gồm các kháng sinh tiêu biểu như Ciprofloxacin (biệt dược Ciprobay), Ofloxacin,...
Nhóm kháng sinh này tác dụng điều trị tốt hơn thế hệ 1 trên các loại vi khuẩn Gram âm, đặc biệt chúng diệt được cả trực khuẩn mủ xanh. Ngoài ra, chúng còn tác dụng tốt cả trên vi khuẩn Gram dương và diệt khuẩn toàn thân.

11.3 Quinolon thế hệ 3
- Những đại diện cho nhóm kháng sinh này bao gồm Levofloxacin (biệt dược Tavanic), Gatifloxacin, gemifloxacin,...
- Nhóm kháng sinh này có hoạt tính điều trị tốt hơn so với thế hệ 2 trên vi khuẩn Gram dương, đặc biệt là phế cầu nên điều trị tốt những bệnh nhiễm khuẩn trên đường hô hấp. Vì thế, những kháng sinh thuộc thế hệ này còn được gọi là quinolon hô hấp.
- Ngoài ra, quinolon thế hệ 3 còn được chỉ định điều trị cho bệnh nhân mắc các bệnh nhiễm khuẩn hô hấp dưới, nhiễm khuẩn tiết niệu và sinh dục, nhiễm khuẩn huyết,...

11.4 Quinolon thế hệ 4
- Hiện nay mới biết duy nhất 1 kháng sinh thuộc nhóm này là moxifloxacin. Có 1 số tài liệu cho rằng moxifloxacin thuộc thế hệ 3 còn thế hệ 4 bao gồm alatrofloxacin và trovafloxacin.
- Tuy nhiên, hiện nay 2 nhóm kháng sinh trên đã không còn sử dụng do độc tính cao trên cơ thể con người nên bài viết này sẽ xếp moxifloxacin vào nhóm quinolon thế hệ 4.

- Moxifloxacin có hoạt tính kháng khuẩn rất tốt trên các chủng vi khuẩn kỵ khí nên ứng dụng điều trị trong các trường hợp như nhiễm khuẩn ổ bụng, nhiễm khuẩn vùng chậu,...
- Ngoài ra, kháng sinh moxifloxacin tác dụng khá yếu trên trực khuẩn mủ xanh nên cũng không khuyến khích chọn lựa làm kháng sinh điều trị.
12 Kháng sinh nhóm Cotrimoxazol
- Cotrimoxazol (biệt dược Biseptol) là kháng sinh được tạo thành do sự kết hợp của 2 chất sulfamid và Trimethoprim theo tỷ lệ 5 : 1.
- Do kháng sinh được cấu thành từ 2 loại kháng sinh khác nhau nên phổ kháng khuẩn rất rộng (hiệu lực với cả vi khuẩn Gram dương và âm) trong khi tác dụng không mong muốn giảm so với việc sử dụng từng loại kháng sinh để điều trị.
- Thuốc kháng sinh được ứng dụng điều trị cho các bệnh nhân bị các bệnh nhiễm khuẩn liên quan tới tiết niệu, sinh dục, hô hấp và đường tiêu hoá.

13 Tác dụng không mong muốn của kháng sinh
Một số tác dụng phụ của kháng sinh khi sử dụng như sau:
13.1 Phản ứng dị ứng
- Sốc phản vệ: là loại dị ứng nguy hiểm nhất, đặc biệt là penicillin.
- 1 số phản ứng dị ứng khác cũng hay thấy xuất hiện như nổi mày đay, ban đỏ, ngứa,...
- Cách xử trí: trước khi kê đơn cho bệnh nhân, bác sĩ nên hỏi bệnh nhân về tiền sử dị ứng thuốc và làm test (test nội bì, test hoa thị, test kích thích).
- Khi gặp phản ứng dị ứng nhẹ thì bệnh nhân cần ngưng sử dụng thuốc và được kê đơn kháng histamin. Nếu bị sốc phản vệ sau dùng kháng sinh, người bệnh cần được cấp cứu ngay theo phác đồ của Bộ y tế.

13.2 Bội nhiễm
- Bội nhiễm là hiện tượng bệnh nhân mắc các bệnh nhiễm trùng do vi khuẩn gây ra trong hoặc sau khi sử dụng kháng sinh, đặc biệt là điều trị bệnh bằng các kháng sinh phổ rộng.
- Các kháng sinh đó làm các vi khuẩn có lợi cho cơ thể biến mất nên tạo điều kiện cho sự phát triển của vi khuẩn gây hại.
- Ví dụ: sử dụng tetracyclin lâu ngày có thể tạo điều kiện cho nấm phát triển ở âm đạo gây bệnh nhiễm trùng.

13.3 Độc tính của fluoroquinolon trên thần kinh
Fluoroquinolone, một nhóm kháng sinh được sử dụng phổ biến ngày nay trong điều trị nhiều loại vi khuẩn, cơ chế chính của kháng sinh này là ức chế quá trình tổng hợp axit nucleic bằng cách ngăn chặn hoạt động của enzyme DNA gyrase và topoisomerase IV. Tuy nhiên sự gia tăng sử dụng các thuốc này đã dẫn đến nhiều tác dụng phụ đáng kể về mặt lâm sàng, bao gồm các triệu chứng thần kinh như đau đầu, chóng mặt, buồn nôn, loạn thần. Việc hiểu rõ về ảnh hưởng của quinolon đối với hệ thần kinh là điều cần thiết, giúp bác sĩ lâm sàng cân nhắc tốt hơn về lợi ích và rủi ro khi dùng thuốc.
13.3.1 Cảnh giác dược với độc tính thần kinh của fluoroquinolon
Vào năm 2011, FDA đã đưa ra cảnh báo về tác dụng phụ trên hệ thần kinh của nhóm thuốc này, bao gồm các rối loạn tâm thần như lo âu, mất ngủ, trầm cảm. Đến năm 2016, cảnh báo được cập nhật thêm các nguy cơ về tác dụng phụ nghiêm trọng khác như hoang tưởng, ảo giác, ý định tự tử.
Một nghiên cứu của Morales và cộng sự trên 5357 bệnh nhân mắc bệnh thần kinh ngoại biên, đối chiếu với 17285 người đối chứng, cho thấy việc sử dụng fluoroquinolon đường uống làm tăng đáng kể nguy cơ mắc bệnh. Cụ thể là tăng tăng 3% mỗi ngày khi tiếp xúc với thuốc và kéo dài tới 180 ngày sau khi ngừng sử dụng.
Một nghiên cứu khác của Muanda FT và cộng sự tại Ontario, Canada (giai đoạn từ 2008 đến 2020) trên 11,917 bệnh nhân lớn tuổi (≥ 66 tuổi) có eGFR < 30 mL/phút/1.73 m2, loại trừ những bệnh nhân đang lọc máu, rồi tiến hành đánh giá nguy cơ gặp tác dụng phụ khi sử dụng kháng sinh quinolon ở liều cao so với liều thấp. Kết quả cho thấy những bệnh nhân lớn tuổi mắc bệnh thận mạn tiến triển có nguy cơ nhập viện cao hơn đáng kể vì các rối loạn hệ thần kinh và/hoặc rối loạn tâm thần trong vòng 14 ngày.

Về dịch tễ học, khoảng 1-4,4% người dùng thuốc chịu ảnh hưởng bởi các tác dụng phụ trên hệ thần kinh, trong đó nhóm đối tượng nguy cơ cao gồm người cao tuổi, bệnh nhân suy thận, người mắc bệnh Parkinson hay động kinh. Tuy nhiên các triệu chứng này thường bị bỏ sót trong quá trình theo dõi do nhầm lẫn với bệnh nền hoặc tình trạng nhiễm khuẩn. Như vậy cần có sự phối hợp đa ngành giữa bác sĩ, dược sĩ để có sự đánh giá chính xác nhất.
13.3.2 Cơ chế gây độc thần kinh
Cơ chế gây độc thần kinh của kháng sinh Quinolon chưa được chứng minh rõ ràng, nhưng các giả thiết đã được đề xuất. Cụ thể:
- Quinolone có khả năng vượt qua hàng rào máu-não và tác động đến các con đường thần kinh kích thích và ức chế, đồng thời mức độ kích thích có sự khác nhau giữa các kháng sinh.
- Quinolone có nhiều tương tác thuốc, nên việc sử dụng đồng thời với một số thuốc khác có thể làm tăng nguy cơ gây độc thần kinh.
- Độc tính của fluoroquinolone có thể nghiêm trọng hơn trong các trường hợp suy thận cấp hoặc mãn tính, suy gan, nhiễm trùng hệ thống, tiền sử bệnh lý thần kinh.
13.3.3 Giải pháp trong quản lý độc tính thần kinh của thuốc trong thực hành
Để hạn chế các độc tính trên hệ thần kinh của thuốc, các nhân viên y tế cần phối hợp cùng người bệnh trong quản lý việc sử dụng, cụ thể:
- Ngừng dùng kháng sinh fluoroquinolon khi bệnh nhân xuất hiện các triệu chứng thần kinh, vì hầu hết các tác dụng phụ sẽ biến mất trong vòng 72 giờ.
- Hạn chế phối hợp đồng thời nhiều thuốc có cùng tác dụng phụ trên hệ thần kinh khi không thật sự cần thiết.
- Một số tương tác thuốc cần lưu ý khi phối hợp kháng sinh như aminoglycosid (tổn thương thần kinh ngoại biên, mất thính lực), carbapenem (co giật, rối loạn tâm thần), doxycyclin (tăng áp lực nội sọ), và Linezolid (hội chứng serotonin).
- Bệnh nhân có chức năng thận suy giảm cần điều chỉnh liều phù hợp và theo dõi các triệu chứng thần kinh như run tay, loạn thần, co giật để phát hiện kịp thời.
- Nếu không thể ngừng fluoroquinolon, có thể thay thế bằng kháng sinh ít độc tính thần kinh hơn.
- Tư vấn cho bệnh nhân và gia đình về tác dụng phụ để phát hiện sớm biến chứng
13.4 Cảnh báo: Nguy cơ có hành vi và ý nghĩ tự tử khi sử dụng kháng sinh fluoroquinolon

Khi kê đơn có chứa loại kháng sinh fluoroquinolon (như ciprofloxacin, delafloxacin, levofloxacin, moxifloxacin, ofloxacin) nhân viên y tế cần phải chú ý đến các vấn đề liên quan đến tâm thần. Điều này bao gồm các phản ứng tâm trạng tiêu cực, bao gồm trầm cảm và rối loạn tâm thần, có thể gây ra ý nghĩ hoặc cố ý tự tử. Nhân viên y tế cũng cần phải tư vấn bệnh nhân về nguy cơ này.
Dưới đây là một số lời khuyên cụ thể cho nhân viên y tế:
Khuyến nghị bệnh nhân đọc kỹ thông tin hướng dẫn sử dụng để biết về các phản ứng có thể xảy ra liên quan đến tâm thần và nên hỏi ý kiến của nhân viên y tế nếu họ gặp bất kỳ triệu chứng nào.
Khi kê đơn có chứa kháng sinh fluoroquinolon, cần nói rõ cho bệnh nhân về bất kỳ thay đổi nào trong tâm trạng của họ, bao gồm thay đổi tâm trạng, suy nghĩ tiêu cực, ý định tự tử hoặc tự gây thương tích, bất kỳ khi nào trong quá trình điều trị.
Cần lưu ý rằng kháng sinh fluoroquinolon có thể làm cho các triệu chứng tâm thần hiện có ở bệnh nhân trở nên trầm trọng hơn.
Khuyến nghị bệnh nhân nếu gặp bất kỳ triệu chứng về mặt tâm lý như trên, hãy tới cơ sở y tế để được kiểm tra và can thiệp nếu cần.
Khi bệnh nhân có bất kỳ dấu hiệu đầu tiên của các phản ứng không mong muốn nghiêm trọng, ví dụ như triệu chứng tâm thần hay trầm cảm trở nên trầm trọng hơn, hãy ngừng dùng thuốc ngay lập tức.
Báo cáo bất kỳ phản ứng có hại nào mà có thể liên quan đến thuốc.
Các lời khuyên dành cho bệnh nhân và người chăm sóc cũng rất quan trọng:
- Nhóm kháng sinh fluoroquinolon có thể có nhiều tên thương hiệu khác nhau. Do đó, bệnh nhân nên kiểm tra chi tiết về tất cả các kháng sinh mà họ được kê đơn trước khi sử dụng.
- Nếu bệnh nhân bị trầm cảm hoặc có bất kỳ vấn đề về tâm thần nào, hãy thông báo cho bác sĩ trước khi bắt đầu điều trị vì các triệu chứng tâm thần có thể trở nên nghiêm trọng hơn trong quá trình sử dụng kháng sinh fluoroquinolon.
- Phản ứng tâm thần có thể bao gồm nhầm lẫn, mất phương hướng, lo âu, trầm cảm, ý nghĩ tự tử hoặc cố ý tự tử.
- Nếu có bất kỳ tác động phụ tâm thần hiếm gặp nào có thể xảy ra, bệnh nhân nên thông báo cho người nhà biết. Bệnh nhân có thể không nhận ra sự thay đổi trong tâm trạng và hành vi của họ, nhưng người thân xung quanh có thể nhận thấy và có thể giúp xác định các triệu chứng cần báo cáo cho bác sĩ.
- Nếu có bất kỳ ý nghĩ tự tử hoặc hành động tự tử nào, hãy ngừng dùng thuốc và thông báo cho nhân viên y tế ngay lập tức.
Cần lưu ý rằng đã có báo cáo về trường hợp tự tử sau khi sử dụng ciprofloxacin, mặc dù bệnh nhân không có tiền sử trầm cảm hoặc vấn đề tâm thần. Điều này cho thấy rằng cần đặc biệt quan tâm đến nguy cơ tiềm ẩn của hành vi tự tử khi sử dụng ciprofloxacin, đặc biệt là ở bệnh nhân trầm cảm. Đã có cảnh báo về khả năng các phản ứng có hại trên tâm thần có thể xảy ra với ciprofloxacin và các loại kháng sinh fluoroquinolon khác trên thông tin sản phẩm của các loại kháng sinh fluoroquinolon hiện nay. Các phản ứng này có thể xảy ra ngay sau liều đầu tiên của ciprofloxacin. Bệnh nhân trầm cảm hoặc rối loạn tâm thần khi sử dụng ciprofloxacin có thể tăng nặng các triệu chứng. Cần lưu ý ngừng sử dụng ciprofloxacin ngay lập tức nếu bệnh nhân dùng ciprofloxacin có ý nghĩ hoặc hành động tự tử.
Chưa có nhiều bằng chứng cụ thể để có thể xác định tần suất và thời gian xuất hiện các phản ứng. Do đó bệnh nhân cần báo với bác sĩ khi có dấu hiệu của bất cứ biểu hiện nào liên quan đến tâm thần, bao gồm cả khi đã ngừng sử dụng thuốc.
13.5 Các tác dụng không mong muốn khác
- Có rất nhiều các tác dụng phụ khác có thể kế đến mà kháng sinh gây ra trên cơ thể như:
- Erythromycin gây rối loạn tiêu hoá.
- Nhóm aminosid gây độc trên các cơ quan như thận và tai.
- Cloramphenicol gây tác dụng có hại trên hệ tạo máu của cơ thể.
- Tetracyclin làm chậm phát triển của xương ở trẻ và làm hỏng men ở răng.
13.6 Cập nhật: Quản lý việc sử dụng kháng sinh nhóm fluoroquinolon một cách chặt chẽ

Năm 2019, lần đầu tiên việc thắt chặt sử dụng kháng sinh nhóm fluoroquinolon được đưa ra nhằm hạn chế các tác dụng phụ nghiêm trọng của chúng. Gần đây, MHRA đã tiến hành đánh giá lại các biện pháp này và cảnh báo về nguy cơ của kháng sinh nhóm FQ vào tháng 8/2023. Cho đến tháng 1/2024, MHRA tiếp tục thắt chặt việc chỉ định sử dụng kháng sinh nhóm FQ, chỉ nên sử dụng khi không phù hợp với các loại kháng sinh khác được ưu tiên hơn trong điều trị nhiễm khuẩn.
Các nhân viên y tế được khuyến cáo:
- Kháng sinh nhóm FQ có thể gây ra các tác dụng phụ kéo dài và nghiêm trọng, ảnh hưởng đến nhiều hệ cơ quan và tổ chức trong cơ thể, có thể dẫn đến tàn tật và khả năng không hồi phục.
- Chỉ định sử dụng kháng sinh nhóm FQ hiện nay chỉ nên được thực hiện khi không phù hợp với các loại kháng sinh khác được ưu tiên hơn trong trường hợp nhiễm khuẩn.
- Các trường hợp không phù hợp sử dụng kháng sinh khác bao gồm khi đã thử các loại kháng sinh lựa chọn đầu tiên mà không hiệu quả, hoặc khi sử dụng chúng có thể gây nguy hiểm cho bệnh nhân.
- MHRA cũng nhấn mạnh về việc ngừng sử dụng kháng sinh nhóm FQ khi xuất hiện các dấu hiệu của phản ứng phụ nghiêm trọng, và cảnh báo về nguy cơ ảnh hưởng đến tâm thần đã được đưa ra từ tháng 9/2023.
- Các biện pháp hạn chế sử dụng kháng sinh nhóm FQ, bao gồm tránh sử dụng chúng cho những bệnh nhân đã từng gặp phản ứng không mong muốn nghiêm trọng hoặc cho những nhóm bệnh nhân có nguy cơ cao tổn thương gân, cơ, xương khớp cũng đã được nhắc lại từ tháng 8/2023.
14 Siêu vi khuẩn kháng thuốc kháng sinh có thể cướp đi sinh mạng gần 40 triệu người năm 2050
15 Thực trạng kháng kháng sinh hiện nay
15.1 Đề kháng kháng sinh là gì?
Đề kháng kháng sinh tên tiếng anh là antibiotic resistance. Vi khuẩn kháng thuốc là khi kháng sinh dùng tại nồng độ tối đa ở bệnh nhân vẫn còn khả năng dung nạp thuốc, vi khuẩn vẫn có khả năng sinh tồn và phát triển.
Kháng sinh là 1 phát minh rất quan trọng của thế kỷ 20 và đã giúp ngành y học bước sang trang mới khi giảm thiểu được tỷ lệ mắc bệnh và tử vong của người bị nhiễm khuẩn.
Tuy nhiên, việc sử dụng kháng sinh nhiều gây ra tình trạng đề kháng kháng sinh (tên tiếng anh ngày càng trầm trọng hơn và trở thành vấn đề nhức nhối nhất trong y khoa tại Việt Nam cũng như trên toàn thế giới.
Khi sử dụng kháng sinh tác động lên một nhóm vi khuẩn, vi khuẩn nào nhạy cảm với kháng sinh sẽ bị tiêu diệt còn vi khuẩn đề kháng được thì vẫn tiếp tục sống sót.
Các vi khuẩn kháng thuốc sẽ phát triển và quần thể gồm đa số vi khuẩn kháng thuốc được hình thành.

Việc lạm dụng kháng sinh sẽ làm đẩy nhanh tốc độ xuất hiện vi khuẩn kháng thuốc trong khi bác sĩ hiện nay đa phần vẫn sử dụng thuốc kháng sinh được phát minh từ thế kỷ trước để điều trị bệnh nhiễm khuẩn và các thuốc thế hệ mới thì chưa hoàn thành nghiên cứu thực nghiệm.
Ngoài ra, sự đề kháng vi khuẩn còn nguy hiểm hơn khi các vi khuẩn có khả năng kháng chéo. Khi vi khuẩn đã kháng một loại kháng sinh thì chúng có thể kháng thêm các kháng sinh khác có cùng kiểu cấu trúc hóa học hoặc cùng cơ chế tác dụng.
Thêm nữa, vi khuẩn còn có khả năng trao đổi các gen kháng thuốc cho nhau làm cho tình trạng đề kháng kháng sinh ngày càng báo động.
15.2 Tình trạng kháng kháng sinh tại Việt Nam
- Đề kháng kháng sinh tại Việt Nam tăng rất cao do khí hậu là điều kiện thuận lợi cho sự phát triển của các chủng vi khuẩn và sự lạm dụng thuốc kháng sinh để điều trị bệnh tại các cơ sở điều trị bệnh và người dân tự ý sử dụng.
- Năm 2017, Tổ chức y tế thế giới (WHO) đã thống kê thực trạng kháng kháng sinh tại Việt Nam tăng rất cao và xếp Việt Nam thuộc nhóm các nước có tình trạng kháng kháng sinh cao nhất thế giới.
- Năm 2020, Bộ Y tế cho biết, tỷ lệ kháng kháng sinh đối với E.coli khoảng 30 – 40%. Tỷ lệ kháng Klebsiella pneumoniae khoảng 60%. Vi khuẩn kháng 2 nhóm kháng sinh và vi khuẩn kháng với tất cả kháng sinh đã xuất hiện.
.jpg)
15.3 Nguyên nhân gây ra tình trạng kháng kháng sinh
- Hành vi kê đơn kháng sinh không phù hợp của bác sĩ; dược sĩ bán kháng sinh như loại thuốc không kê đơn; bệnh nhân không sử dụng kháng sinh theo đúng hướng dẫn của đơn thuốc; tự ý mua kháng sinh về sử dụng là những nguyên nhân phổ biến gây ra hậu quả đề kháng kháng sinh.
- Việc bác sĩ kê đơn kháng sinh không cần thiết cho quá trình điều trị bệnh hay việc bán thuốc không cần đơn của dược sĩ sẽ làm gia tăng thu nhập của họ.
- Bệnh nhân thì luôn có ý nghĩ sử dụng thuốc kháng sinh để điều trị bệnh, ngay cả khi bệnh đó không phải do vi khuẩn gây ra hoặc tự ý ngừng sử dụng khi thấy bệnh gần khỏi.
- Ngoài ra, sử dụng kháng sinh nhiều trên vật nuôi cũng sinh ra các chủng vi khuẩn đề kháng kháng sinh ngoài cộng đồng. Đa phần, các kháng sinh đó là những loại có phổ rộng và độc tính cao.
- Người dân cho vật nuôi sử dụng các kháng sinh mạnh với mục đích khiến cho vật nuôi khỏe mạnh, không bị bệnh, từ đó ăn khỏe, tăng trọng nhanh và nhanh chóng thu lợi nhuận.
.jpg)
15.4 Các cơ chế đề kháng kháng sinh của vi khuẩn
Vi khuẩn kháng kháng sinh theo 3 cơ chế sau:
Tạo enzym phân huỷ hoặc biến đổi kháng sinh
- Chủng vi khuẩn Streptococcus tiết ra β-lactamase phá hủy vòng β-lactam trong cấu trúc hoá học của kháng sinh nhóm β-lactam.
- Chủng vi khuẩn kháng cloramphenicol tiết ra enzym acetyl transferase khiến thuốc này mất hoạt tính.
Thay đổi tính thấm của màng tế bào
- Khi màng tế bào của vi khuẩn thay đổi, thuốc kháng sinh sẽ không thấm được qua màng cho hiệu quả tác dụng và vi khuẩn đã kháng thuốc.
- Kháng sinh thân nước như tetracyclin hay β-lactam vận chuyển qua kênh porin của vi khuẩn. Khi vi khuẩn không còn kênh này, thuốc đã không còn tác dụng diệt vi khuẩn này.
- Hoặc Aminoglycosid vận chuyển vào vi khuẩn phụ thuộc vào oxy nên những vi khuẩn kị khí sẽ kháng lại nhóm kháng sinh này.
Thay đổi đích tác dụng
Khi các receptor gắn thuốc kháng sinh thay đổi, thuốc không thể gắn lên được nên không gây ra tác dụng kìm hãm hay tiêu diệt vi khuẩn được.
Các chủng vi khuẩn kháng aminoglycosid do chúng thay đổi receptor trên tiểu phân 30S của Ribosom.

15.5 Giải pháp kháng kháng sinh
- Tăng cường nhận thức về kháng kháng sinh: Giáo dục và truyền thông về các vấn đề kháng thuốc kháng sinh để mọi tầng lớp trong xã hội nhận thức và tuân thủ hướng dẫn sử dụng kháng sinh an toàn và hợp lý của Bộ y tế.
- Tăng cường giám sát các cơ sở điều trị và bán thuốc kháng sinh, xử lý nghiêm những hành vi bán kháng sinh không kê đơn.
- Có những biện pháp phù hợp để thay đổi hành động kê đơn của các nhân viên y tế như khuyến khích sử dụng các xét nghiệm chẩn đoán vi khuẩn, kiểm tra trên hệ thống máy tính, tiếp cận cộng đồng và phổ biến tài liệu.
- Đề ra những biện pháp thích hợp để dự phòng nhiễm trùng ở người và động vật, hạn chế sử dụng kháng sinh điều trị trong các trường hợp không cần thiết và kháng sinh phổ rộng.
- Giám sát và hạn chế sự truyền nhiễm của mầm bệnh đề kháng với thuốc kháng sinh ra môi trường.
- Thúc đẩy các hoạt động phát triển kháng sinh thế hệ mới do những kháng sinh cũ đã bị kháng.

Trong bài viết này, chúng tôi đã cung cấp cho quý bạn đọc những kiến thức tổng quan về 9 nhóm kháng sinh và đưa ra những cảnh báo về tình trạng kháng kháng sinh ngày càng trầm trọng tại Việt Nam cũng như trên toàn thế giới. Hy vọng thông qua bài viết này, bạn đọc sẽ có những thông tin hữu ích về cách sử dụng kháng sinh hợp lý nhất để hạn chế tình trạng kháng kháng sinh lan rộng.
16 Một số câu hỏi thường gặp về các nhóm kháng sinh
16.1 Kháng sinh nào thuộc nhóm kìm khuẩn, diệt khuẩn?
Ngoài cách phân loại theo cơ chế thuốc, kháng sinh cũng có thể phân thành kháng sinh kìm khuẩn hoặc kháng sinh diệt khuẩn dựa vào nồng độ ức chế tối thiểu và nồng độ diệt khuẩn tối thiểu của một kháng sinh.
- Kháng sinh kìm khuẩn gồm các nhóm: Chloramphenicol, tetracyclin, macrolide, sulfonamide, linezolide
- Kháng sinh diệt khuẩn: Beta-lactam, aminoglycoside, glycopeptid, Quinolone, Lipopeptid
16.2 Ý nghĩa phân loại kháng sinh kìm khuẩn và diệt khuẩn trong lâm sàng là gì?
Theo cách phân loại này có thể giúp bác sĩ sử dụng kháng sinh hiệu quả hơn, chẳng hạn như:
- Khi bị nhiễm khuẩn nhẹ, sử dụng kháng sinh kìm khuẩn sẽ ức chế sinh sản và phát triển của vi khuẩn, cơ thể có điều kiện kích thích miễn dịch tiêu diệt vi khuẩn, hạn chế được sự đề kháng thuốc kháng sinh.
- Trường hợp nhiễm khuẩn nặng hoặc người bệnh bị suy giảm miễn dịch thì lựa chọn kháng sinh diệt khuẩn sẽ có hiệu quả điều trị tốt hơn.
16.3 Khi nào không nên dùng thuốc kháng sinh?
Kháng sinh là thuốc điều trị nhiễm khuẩn, không dùng kháng sinh trong những trường hợp nhiễm virus, nhiễm nấm. Vì vậy kháng sinh không có tác dụng với các tình trạng như:
- Bệnh cúm.
- Cảm lạnh thông thường hoặc sổ mũi.
- Hầu hết các trường hợp viêm phế quản .
- Đau họng (trừ khi là viêm họng liên cầu khuẩn).
- Nhiễm trùng xoang do vi-rút gây ra.
16.4 Như thế nào là kháng sinh phổ rộng?
Kháng sinh phổ rộng là kháng sinh có tác dụng trên nhiều loại vi khuẩn, bao gồm cả chủng vi khuẩn gram âm và chủng vi khuẩn gram dương. Các nhóm kháng sinh phổ rộng thường gặp như nhóm quinolone, cephalosporin thế hệ 3, 4…
16.5 Như thế nào là kháng sinh phổ hẹp?
Kháng sinh phổ hẹp là nhóm kháng sinh chỉ có tác dụng trên một số chủng vi khuẩn cụ thể. Chẳng hạn như kháng sinh ampicillin có tác dụng chỉ trên nhóm vi khuẩn gram dương, hầu như không có tác dụng với nhóm vi khuẩn gram âm.
16.6 Thuốc kháng sinh tồn tại bao lâu trong cơ thể?
Thuốc kháng sinh thường tồn tại trong cơ thể từ vài giờ đến vài ngày sau khi ngừng dùng thuốc. Nhiều yếu tố (bao gồm loại thuốc kháng sinh đang dùng, liều dùng và độ tuổi) có thể ảnh hưởng đến thời gian thuốc tồn tại trong cơ thể.
16.7 Đặc điểm phổ kháng khuẩn của kháng sinh amoxicillin và ampicillin?
Có phổ kháng khuẩn gần giống nhau, nên vi khuẩn nhạy với amoxicillin thì sẽ nhạy với ampicillin.
Amoxicillin được ưa chuộng hơn do ít gây tiêu chảy và sinh khả dụng tốt hơn. Cùng với 1 liều đường uống, amoxicillin cho nồng độ cao gấp 2 lần ampicilline trong máu.
Khác với ampicillin, amoxicillin thường không gây tưa miệng do Candida và tiêu chảy kích ứng.
Ampicillin dùng để điều trị nhiễm khuẩn E. faecalis nhạy cảm (95%), nên được dùng điều trị viêm nội tâm mạc do E. faecalis.
Amoxicillin không qua được hàng rào máu não, nên không được dùng điều trị viêm màng não như ampicillin. Ngoài ra, amoxicillin chỉ có hoạt tính yếu trên Shigella.
17 Tài liệu tham khảo
1. Mai Tất Tố, Vũ Thị Trâm (2007). Sách Dược lý học tập 2, Nhà xuất bản Y học, Hà Nội.
2. Jesus Caballero và Jordi Rello (Ngày đăng 23 tháng 11 năm 2011). Combination antibiotic therapy for community-acquired pneumonia, NCBI. Truy cập ngày 17 tháng 12 năm 2021.
3. Chuyên gia của GOV.UK (Ngày đăng: 26 tháng 09 năm 2023), Fluoroquinolone antibiotics: suicidal thoughts and behaviour, GOV.UK. Truy cập ngày 18 tháng 10 năm 2023
4. Tác giả Daniel Morales và cộng sự (ngày đăng 1 tháng 7 năm 2019) Association between peripheral neuropathy and exposure to oral fluoroquinolone or amoxicillin-clavulanate therapy. Pubmed. Truy cập ngày 3 tháng 4 năm 2025.
5. Tác giả Flory Tsobo Muanda và cộng sự (ngày 1 tháng 8 năm 2022) Association of Higher-Dose Fluoroquinolone Therapy With Serious Adverse Events in Older Adults With Advanced Chronic Kidney Disease. NIH. Truy cập ngày 3 tháng 4 năm 2025
Có tổng: 2625 sản phẩm được tìm thấy
Amvifxacin 200mg
Molintop 100mg
Zilatrodin 500 Tab
Zilatrodin 250 Tab
Lifagena 550mg
Topfalo 500mg/100ml
Tigemy 50
Ofloxacin 200mg/40ml Minh Dân
Oxacilline Panpharma 1g
Bivelox I.V 500mg/100ml
Cefoperazone 0.5g Imexpharm
Cefotiam 1g Imexpharm
LSP-Linezolid 600mg
Biseptol 80ml Polpharma
Sulraapix 1,5g- 22 Thích
Cho e hỏi thuốc Peflacin Monodose này bên mình còn hàng ko ạ nhờ công ty phản hội sớm
Bởi: Nguyễn Viết Kiên vào
Thích (22) Trả lời - 19 Thích
Thuốc kháng sinh có ship ngoại tỉnh được không ạ?
Bởi: Hồ Sĩ Hoàng vào
Thích (19) Trả lời
- BB
nhà thuốc bán thuốc cho tôi dùng hiệu quả, dược sĩ nhà thuốc An Huy tư vấn nhiệt tình, mình thấy khá hài lòng và yên tâm
Trả lời Cảm ơn (22)

